Os pesquisadores há muito são fascinados pela complexa interação entre a linguagem e a tomada de decisões morais. Num estudo recente, uma equipa da Universidade das Ilhas Baleares investigou este interessante assunto, centrando-se nos primeiros bilíngues e na forma como o uso da língua afeta as suas escolhas morais. O estudo, liderado por Albert Flexas, Ph.D., em colaboração com Raul Lopez-Penades, Ph.D., Eva Aguilar-Mediavilla, Ph.D., e Daniel Adrover-Roig, Ph.D., examinou se o efeito de língua estrangeira (FLe) se aplica aos primeiros bilíngues catalão-espanhol altamente proficientes. As suas descobertas, publicadas na PLOS ONE, desafiam alguns pressupostos estabelecidos e lançam uma nova luz sobre o papel dos traços de personalidade na tomada de decisões morais.
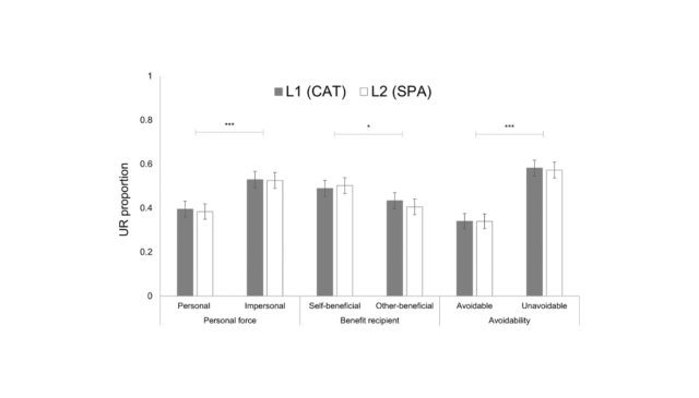
O estudo envolveu um grupo de estudantes de graduação de língua catalã com proficiência em catalão e espanhol. Os participantes enfrentaram dilemas éticos, divididos igualmente entre as duas línguas, e analisaram as suas respostas para decisões utilitárias versus deontológicas. Surpreendentemente, os investigadores descobriram que as decisões morais tomadas em catalão não eram significativamente diferentes daquelas tomadas em espanhol. Isto contradiz pesquisas anteriores que mostram que as pessoas são mais propensas a tomar decisões utilitárias quando os dilemas são apresentados numa segunda língua devido ao impacto emocional reduzido.
“Nossos resultados sugerem que os primeiros bilíngues, apesar de serem igualmente proficientes em ambas as línguas, não apresentam o efeito de língua estrangeira”, disse o Dr. Flakes. “Isso desafia a noção de que uma segunda língua proporciona inerentemente maior distância emocional.”
O estudo também examinou o impacto dos traços de personalidade, particularmente aqueles associados à psicopatia, na tomada de decisões morais. Os participantes completaram uma medida triádica de psicopatia avaliando ousadia, maldade e desinibição. Os investigadores descobriram que o comportamento mesquinho caracterizado pela falta de empatia e uma tendência para a crueldade estava significativamente associado a taxas mais elevadas de tomada de decisão utilitária, independentemente da linguagem do dilema.
Isto é consistente com pesquisas anteriores que mostram que as pessoas com níveis mais elevados de traços psicopáticos são mais propensas a fazer escolhas utilitárias, priorizando o bem maior em detrimento do dano pessoal.
A falta de efeito de língua estrangeira neste estudo pode dever-se às estreitas relações linguísticas e culturais entre o catalão e o espanhol, duas línguas românicas que são utilizadas indistintamente em muitos contextos sociais e educacionais em Maiorca. Este ambiente bilíngue pode reduzir o FLe normalmente observado quando as pessoas mudam para uma segunda língua mais distante.
Além disso, o estudo explora como as avaliações dos dilemas pelos participantes – como vivacidade percebida, autenticidade e excitação emocional – afetam suas escolhas morais. Os resultados mostraram que os dilemas percebidos como mais vívidos e realistas tinham maior probabilidade de suscitar respostas utilitárias, especialmente entre pessoas com pontuações mais altas de maldade. Isto destaca a complexa interação de características pessoais e fatores contextuais na formação de julgamentos morais.
Flexas enfatizou: “Nosso estudo destaca a importância de considerar as diferenças individuais e os contextos linguísticos específicos ao estudar a tomada de decisões morais. Em Maiorca, os primeiros bilíngues integram profundamente ambas as línguas em suas vidas diárias, o que pode compensar a tomada de decisões moralmente única vista em outras populações bilíngues.”
No geral, este estudo fornece informações valiosas sobre os fatores que influenciam a tomada de decisões morais em bilíngues. Desafia a generalização do efeito da língua estrangeira e destaca o importante papel dos traços de personalidade, como a maldade, na formação de escolhas morais. Estas descobertas contribuem para uma compreensão mais matizada da interação entre linguagem, emoção e moralidade, fornecendo novos insights sobre como o bilinguismo e as diferenças individuais se cruzam na tomada de decisões morais.
Referência do diário
Flexas, A., López-Penadés, R., Aguilar-Mediavilla, E., & Adrover-Roig, D. (2023). “A maldade fala mais alto que a linguagem: as escolhas morais nos primeiros bilíngues não têm influência da língua estrangeira.” PLoS Um. Número digital: https://doi.org/10.1371/journal.pone.0294523
Sobre o autor
Dr. Albert Flex é professor contratado titular na Universidade das Ilhas Baleares (UIB), ensinando psicologia do desenvolvimento ao longo da vida. Em 2015 tornou-se Diretor da Licenciatura em Psicologia da Universidade Isabel I de Burgos, onde gere processos académicos e leciona neuropsicologia e comunicação. Retornou à UIB em 2017 e atualmente é reitor associado de coordenação acadêmica da Faculdade de Educação. Suas primeiras pesquisas sobre a base biológica da apreciação estética (neuroestética) e da cognição moral (neuroética) lhe renderam o Prêmio Distinguido de Doutorado de 2013-14 no Programa de Cognição e Evolução Humana. Flexas publicou mais de 27 trabalhos, incluindo 15 artigos indexados no JCR e 7 capítulos de livros, contribuindo para a apreciação estética, redes neurais e tomada de decisões éticas. Como membro do grupo de investigação Desenvolvimento, Educação e Linguagem (I+DEL), os seus atuais interesses de investigação incluem a cognição moral e a interação entre linguagem, emoção e moralidade.

Dr. Raúl López-Peñades Trabalhou em grupos de pesquisa afiliados a duas universidades espanholas. Inicialmente trabalhou no Laboratório de Neurociências Afetivas da Universidade Jaime I de Castellón, onde defendeu sua tese de doutorado em 2010. Trabalha no grupo de pesquisa UIB I+DEL desde 2014 e atualmente atua como professor sênior. Os interesses de pesquisa do Dr. Lopez-Penades evoluíram ao longo dos anos. Inicialmente, ele se concentrou em processos psicológicos fundamentais, como emoção, aprendizagem associativa e controle executivo, que estão subjacentes a psicopatologias como psicose, ansiedade e dependência de substâncias. Ganhou experiência em métodos experimentais baseados em medidas comportamentais e psicofisiológicas e esteve envolvido no estudo da personalidade normal e patológica e na adaptação e validação de ferramentas de investigação e avaliação psicológica. Nos últimos anos, o Dr. Lopez-Penades concentrou-se no estudo das vantagens cognitivas do bilinguismo e das características psicológicas de crianças com necessidades específicas de apoio, particularmente a sua relação com o bullying e o cyberbullying.

Dra. Eva Aguilar-Mediavilla é professor titular da UIB. Ela lidera o Instituto de Pesquisa e Inovação em Educação (IRIE) da UIB, preside a Associação Internacional para o Estudo da Aquisição de Línguas (AEAL) e atua no comitê executivo da Associação Internacional para o Estudo da Linguagem Infantil (IASCL). Ela também co-lidera o grupo de pesquisa I+DEL. Aguilar-Mediavilla ensinou e conduziu pesquisas em diversas universidades, incluindo a Universidade de Buffalo, UNED, UOC, a Universidade de Andorra, a Universidade de Palacki, a City University London e o Centro Peruano de Audición, Lenguaje y Aprendizaje (CPAL). Sua pesquisa se concentra na aquisição da linguagem, dificuldades de linguagem, bilinguismo e fonologia. Liderou três projetos nacionais e contribuiu para outros sete, publicou mais de 45 artigos, 48 livros e capítulos e participou de 134 conferências. Ela é avaliadora especializada da ANEP da UE e da Espanha e atua como editora adjunta da Frontiers in Psychology e da Revista de Logopedia, Foniatría y Audiología.

Dr.Daniel é professor sênior da UIB, onde leciona psicologia do desenvolvimento em idade escolar, psicologia educacional e distúrbios de linguagem no ensino fundamental. Ele conduziu pesquisas de pré-doutorado na Universidade de Würzburg, na Alemanha, e no Departamento de Psicologia Experimental da Universidade de Oxford, no Reino Unido, e conduziu dois anos de pesquisas de pós-doutorado na Universidade de Montreal, no Canadá. O Dr. Adrover-Roig também ocupou cargos administrativos, incluindo reitor associado da Faculdade de Educação e coordenador do Vestibular do Ensino Infantil e Fundamental. Atualmente, o Dr. Adrover-Roig também co-lidera o grupo de pesquisa I+DEL da UIB. A sua investigação recente centrou-se na vitimização do bullying e na sua associação com necessidades educativas e dificuldades linguísticas e de comunicação. Trabalhos anteriores investigaram os correlatos neurais e comportamentais do bilinguismo e seu impacto no envelhecimento. Ele liderou três projetos de pesquisa e publicou aproximadamente 35 artigos indexados no JCR e mais de 25 livros e capítulos de livros.
Este artigo recebeu apoio financeiro da Agência Nacional de Investigação do Ministério da Ciência e Inovação (MCIN/AEI – Governo de Espanha) e do Fundo Europeu de Desenvolvimento Regional (FEDER) sob a forma de MCIN/AEI/10.13039/501100011033 e da subvenção PID2021-123770OB-I00 financiada pelo “FEDER A way of Europe”.



